TyroCity

Chemistry 11 Notes for Chemistry Notes

Posted on

Ortho Para Directing Effect

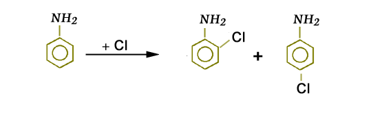
Some groups direct the second incoming group to the ortho and para positions simultaneously. These groups are called ortho-para directors. For example, when aniline is chlorinated, the product so obtained is ortho and para.

Image1

The (-NH2) group directs the incoming group -Cl to ortho and para positions on the ring. Therefore,
(-NH2) group is an ortho-para director. Some common ortho para directing groups are –Cl, -Br, -I, -OH, -NH2, -CH3, -C2H5.

Some ortho para directors
Halogens , -NH2, -R, -OH

Meta directing effect
The group which directs the second incoming group to the meta position, is called a meta-director.
For example, alkylation of nitro benzene gives m-alkylnitro benzene as major product.

Image2

Therefore, –NO2 group is a meta director.

Some meta directors
-NO2, -CHO, -COOH, COOR, –SO3H, -CN, -COR etc.

Effects of substituents on reactivity
Substituents already present on a benzene ring also influences the rate of reaction.
For example, toluene, C6H5-CH3, is nitrated 25 times faster than benzene itself. On the other hand, the rate of nitration of chlorobenzene, C6H5-Cl is 30 times less than benzene. This means that the presence of CH3 on benzene ring activates it to aromatic electrophilic substitution, while the presence of a (-Cl) group deactivates it.
A substituent, which activates the aromatic ring to further substitution, is called an activating substituent or ring-activator.
A substituent, which deactivates the aromatic ring to further substitution, is called a deactivating substituent or ring-deactivator

Top comments (0)