TyroCity

Physics XI Notes for Physics Notes

Posted on

A pendulum clock is taken to moon. Will it gain or lose time?

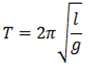
The time period of a simple pendulum is given by

Time peroid
When the pendulum is taken to the moon, the value of ā€˜g’ will decrease and hence time period will increase. As the pendulum takes more time to complete one vibration, it will lose time.

Top comments (0)