TyroCity

Physics XII Notes for Physics Notes

Posted on

Ac Through Inductor Only

Image1

Let an alternating emf be applied to a circuit containing inductor only such type of circuit is called inductive circuit.
Let the emf applied to the circuit is:
Image2

Then the induced emf across the inductor is:

Image3

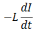
This emf opposes the growth of current in the circuit. Applying kirchhoff’s voltage law in the loop of fig a,

Image4

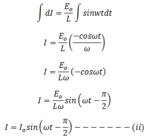
Integrating above expression we get,

Image5

This is the form of alternating current developed in the purely inductive circuit. Equation i and ii shows that in a purely inductive circuit alternating emf leads the alternating current by π/2.

Top comments (0)