TyroCity

Physics XII Notes for Physics Notes

Posted on

Beat

When two sound waves of same amplitude and nearly equal frequency move in the same direction then these two waves superimpose to each other giving rise to alternating hearing of the sound. This phenomenon is called Beat.
The no of hearing produce in one second is beat frequency.

image1

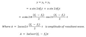
Consider two waves having frequency f1 and f2 then the displacement equation of these two waves are given by:

image2

If the two waves are sounded together, they will interfere and the resulting displacement y according to the principle of super position is given by:

image3

Since, intensity of sound is related to the amplitude of sound.

Condition of maximum intensity:
The intensity will be maximum.

image4

i.e. the intensity of sound will be minimum in the time

image5

The consecutive time internal between the hearing two minimum intensity of sound

Since the consecutive time internal between maximum or minimum intensity of sound is called beat period.

image6

Top comments (0)