TyroCity

Physics XII Notes for Physics Notes

Posted on

Electrical Resonance

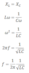
Resonance is said to occur in LCR circuit for a given frequency of applied emf if maximum current flows through the circuit.
We know,

Image1

For current to be maximum Z should be minimum,

Image2

This relation shows that the resonating frequency is independent of resistance. However the sharpness of resonating frequency is determined by the value of resistance.

Image3

Top comments (0)