TyroCity

Physics XI Notes for Physics Notes

Posted on • Updated on

How Is Surface Tension Originated?

image1

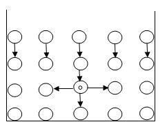
Bulk molecule feels force from all direction since it has molecules in all direction due to which resultant force becomes zero but surface molecules only feels inward force since it lies at the surface due to which the resultant force in surface molecules is not zero. Resultant force is in inward direction for surface molecules. Because of this, the surface molecules acts as a stretched membrane and is attracted inward finally resulting surface tension. This is how surface tension is originated.
In short, surface tension is originated due to unequal existence of cohesive force felt by surface molecules of liquid as in above figure.

Top comments (0)