TyroCity

Physics XII Notes for Physics Notes

Posted on

Maximum And Minimum Intensity According To Path Difference

If ‘x’ be the path difference of the web emitting from S1 and S2 and meeting at point ‘p’ then

image1

The point ‘p’ will be the position of maximum intensity if path difference of the wave emitting from s1 and s2 and meeting at point ‘p’ is integral multiple of wave length of light ‘l’
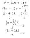
For minimum intensity,

image2

Then the point ‘p’ will be the position of minimum intensity if path difference s odd integral multiple of λ/2.

Top comments (0)