TyroCity

Physics XII Notes for Physics Notes

Posted on

Mean Value Or Average Value Of AC

The mean value or average value of AC over a complete cycle is zero. So we do not consider the average value of AC over one cycle. We therefore take the average value of AC over a half cycle only I.e. from t=0 to t=T/2
The average value of AC over a half cycle is that value of steady current that would send same amount of charge in same interval of time that would be sent by the DC in same time.
To calculate the mean value of ac, Let us consider an ac given by:

Image1

The small amount of charge sent by an ac in small time dt is:

Image2

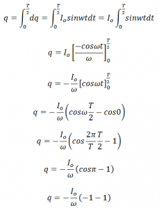
Total charge carried by ac in half cycle is obtained by integrating equation ii from t = 0 to t = T/2

Image3

If Im be the average ac then charge carried by it in half cycle is:

Image4
Image5

Now from equation iii and iv we get,

Image6

Similarly the average value of ac over negative half cycle (t = T/2 to t = T) is:

Image7

Therefore the average ac over a complete cycle is zero.

Similarly the average value of alternating emf over a half cycle is:
Image8

Oldest comments (0)