TyroCity

Physics XII Notes for Physics Notes

Posted on

Motion Of Charge Particle In Electric Field

Image1

Let us consider a charged particle having charge ‘q’ moves with horizontal velocity ‘v’, enters in the region of electric field strength (E) as shown in the fig. As the charged particle moves in the electric field it deviates towards the positive plate. P1. Let y be the vertical distance which the charged particle just emerges from the electric field.
Now, since initial velocity is moving with horizontal component

Image2

Also, according to Newton’s law,

Image3

Now, from equation (i), (ii) and (iii) we get,

Image4

This equation shows that the path followed by charged particle is parabolic in nature.

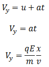
Now, the vertical component of velocity can be obtained as:

Image5

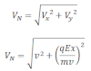
Now the net velocity of the charged particle when it just emerges from the electric field is,

Image6

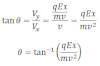
Deflection of the charged particle from its initial path can be obtained as:

Image7

Deflection at the screen can be obtained as:

Image8

Top comments (0)