TyroCity

Physics XII Notes for Physics Notes

Posted on

Red Shift

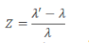
The light from distant stars and distant galaxies has distinct spectral features of atoms. When these spectra are examined, they are found to be shifted towards the red end of the spectrum. This spectrum shift is called red shift . In fact, red shift is apparently a Doppler shift and indicates that essentially all of the galaxies are moving away from the nearer ones. It is measured by the quantity:

Image1

where λ’ is observed wavelength of the same spectral line in the spectrum of galaxy.
λ is real wavelength of the same spectral line in the spectrum of galaxy if they were stationary
If λ’> λ then Z is positive which means red shift exists.
If the galaxy is away with speed v then red shift according to doppler’s effect can be given by,

Image2

Thus the measurement of the red shift for a particular galaxy helps us to estimate the recession velocity of the galaxy. This study shows that the galaxies are rushing away from us with enormous speed and the universe built up by the galaxies is not static but ever expanding.

Top comments (0)