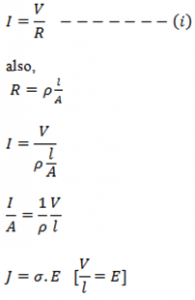
Let I current flow through a conductor when applied potential difference V volt.
Then, from ohm’s law,
For further actions, you may consider blocking this person and/or reporting abuse
For further actions, you may consider blocking this person and/or reporting abuse
Top comments (0)