TyroCity

Physics XII Notes for Physics Notes

Posted on

Young’s Double Slit experiment

image1

Young’s double slit experiment to determine the fringe width.
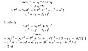
Consider ‘s’ be the point source, which emits the monochromatic light of wave lengths let S1 and S2 be the coherent sources emitted from single source (point) ‘s’ which are separated by distance ‘d’.
Let screen is placed at distance ‘s’ from the slit as in the figure. At any instant the wave emitting from S1 and S2 will meet at point ‘p’ which is at the distance y from the center of the screen O.

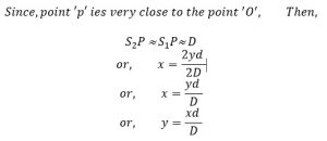
Let x be path difference of wave emitting from S1 and S2 and meeting at ‘p’.

image2

image3

The point ‘p’ will be the position of minimum intensity, if x = nλ

image4

The difference of distance of conservative bright fringes from the center of fringe gives the width of dark fringe.

image5

The point p will be the position of minimum intensity, if

image6

The difference of distance of conservative dark fringe from center of fringe gives width of bright fringe.

image7

Top comments (0)