TyroCity

Chemistry 12 Notes for Chemistry Notes

Posted on

Determination Of Order Of Reaction By Initial Concern Method

For the reaction,

2NO + Cl2 → 2NOCl

Following datas were obtained:

Image1

Determine the order of the reaction with respect to NO, Cl2 and overall order. Write the rate law expression and determine the value of rate constant.

Soln:

Let the order w.r.t. NO and Cl2 be in and n. The rate low expression will be,

Image2

Dividing eqn (ii) by (i) we get,

Image3

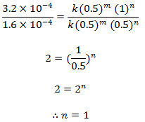
Dividing eqn (iii) by (ii), we get,

Image4

order w.r.t. NO = 2

order w.r.t. Cl2 = 1

Overall order of r × n = 2 + 1 = 3

Then, the rate law expression,

Rate = k [NO]2 [Cl2]

Putting the value of m and n in equation (i), we get,

Image5

The experimental data for the reaction

Image6

Determine the order of the r × n wrt A and B and overall r × n. Write the rate law expression and determine the value of rate of constant.

Solution:

Let the order w.r.t. A and B be m and n. The rate law expression will be,

Image 7

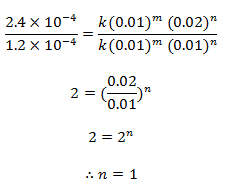
Dividing eqn (ii) by (i) we get,

Image8

Image 9

Image 10

Top comments (0)