TyroCity

Discuss User for Discuss

Posted on

A solid tied at the end of a string is revolved in vertical. At what point the tension in the string will be the greatest?

image 1

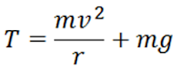
The tension in the string will be maximum at the lowest point.

At the lowest point, weight of the body (mg) will be vertically downward, tension in the string will be vertically upward and centripetal force will be towards the centre.

i.e.

image 2

image 3

This post was part of TyroCity discussion forum
Question asked by drupadh_thapa
Answered by chimini_chand

Top comments (0)