TyroCity

Discuss User for Discuss

Posted on

Mathematics-sequences and series

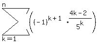
sum to n terms of the series:2/5-6/5^2+10/5^3-14/5^4

Following would be the sum to the n terms of the series for the equation you’ve presented:

Formula

This post was part of TyroCity discussion forum
Question asked by Bijay
Answered by aadarsh_gautam

Top comments (0)