TyroCity

Physics XI Notes for Physics Notes

Posted on

On what factors does the time period of a simple pendulum depend?

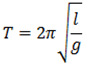
The time period of a simple pendulum is given by

Time peroid
So, time period of simple pendulum depends upon the length of the pendulum, acceleration due to gravity and the temperature (as length depends on temperature). It is directly proportional to the square root of length and inversely proportional to the square root of acceleration due to gravity.

Top comments (0)